
How Does Climate Change Affect Changma Precipitation
Climatological Dynamics of Changma
Climatological Dynamics of Changma from Changma development to precipitation can be simplified into 3 processes. Although there are multiple formation methods for the Changma, we will focus on these basic elements used to interpret the climatological dynamic background of Changma by introducing each process with thermodynamic equations and its physical interpretation.
Low-level Air Convergence
Moisture Flux Transportation
Precipitation
The Continuity Equation
The continuity equation, representing the law of mass conservation in atmospheric motion, provides the core dynamic principle explaining how horizontal convergence induces vertical ascent.


Air Converging into the Column
Vertical Speed of Wind when Increasing
The Change of Vertical Wind Speed w.r.t Height
Physical Significance
Horizontal convergence in the lower troposphere requires that air must be pushed upward in order to conserve mass. This ascent leads to adiabatic cooling, resulting in condensation and cloud formation. Thus, the persistent low-level convergence over the Changma front is the driver that turns the stored water vapor into rainfall.
Moisture Flux Equation
Moisture is the fuel for Changma rainfall and understanding its transport and conservation is critical. Moisture flux represents the amount of water vapor passing through a unit area per unit time, essential for identifying moisture sources for the Changma.

: Integrated Vapor Transport w.r.t height
Using the hydrostatic equation, we can integrate the moisture flux into the form of IVT.
Moisture Flux
Moist Air Density
Specific Humidity (Mixing Ratio) --> represents the Amount of Moisture
Wind Vector
Physical Significance
During the Changma season, a large and persistent moisture flux (F) is advected towards the Korean peninsula along the edge of the WNPSH. Moisture flux convergence signifies the accumulation of water vapor in a region, which is the most direct factor increasing the potential for precipitation and the amount of vapor transport in vertical scale.
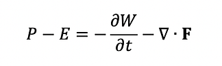
Moisture Budget Equation
The moisture budget equation describes the balance of water vapor in a column of the atmosphere extending from the surface level to the top of the atmosphere.


Net Precipitation
Precipitation
Evaporation
The Change in Atmospheric Water Vapor Storage
Convergence of Moisture Flux
Physical Significance
For intense rain, such as the ones that occur during the Changma, The term moisture flux convergence ( > 0 ) is almost always the dominant term driving precipitation > 0
When moisture convergence is strong, a massive amount of water vapor is being transported horizontally into the column, increasing the likelihood of precipitation because P (precipitation) on the left-hand side of the equation must balance the increased input of water vapor.